Одномерная консолидация

Рис. 9.1.1
Расчётная схема
| Геометрия | ||
| h = 1 м | высота модели | |
| b = 0,1 м | ширина модели |
Свойства материалов
| № | Параметр | Значение | Наименование | |
| 1 | γ | 0 кН/м³ | удельный вес | |
| 2 | E | 1000 кН/м² | модуль деформации | |
| 3 | ν | 0 | коэффициент Пуассона | |
| 4 | kx | 0,001 м/сут | коэффициент фильтрации в горизонтальном направлении | |
| 5 | ky | 0,001 м/сут | коэффициент фильтрации в вертикальном направлении | |
| 6 | B | 0,9933 | параметр Скемптона |
Граничные условия
Деформационные граничные условия
| Граница | Тип | |
| Верхняя | Свободная | |
| Правая | Закреплённая по горизонтали | |
| Нижняя | Закреплённая по горизонтали и вертикали | |
| Левая | Закрепленная по горизонтали |
Фильтрационные граничные условия
| Граница | Тип | |
| Верхняя | Открытая | |
| Правая | Закрытая (непроницаемая) | |
| Нижняя | Закрытая (непроницаемая) | |
| Левая | Закрытая (непроницаемая) |
Эталонное решение
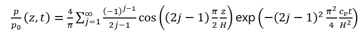
p / p0 (z, t)
Одномерная консолидация грунта может быть описана с помощью следующего дифференциального уравнения для избыточного порового давления p:
∂p/∂t = c_v (∂²p) / (∂z²)
где z — глубина над нижней границей грунта:
z = H−y
Степень консолидации c_v определяется как:
c_v = (k ⋅ E_oed) / γ_w
E_oed = (1−ν') ⋅ E' / ( (1+ν') ⋅ (1−2ν') )
Аналитическое решение этого уравнения в виде относительного избыточного порового давления p⁄p_0 как функции времени t и глубины z дано в работе Verruijt (2001):
Это решение, а также результаты, полученные в SiO 2D, представлены на рисунках 9.1.2–9.1.4. Каждый из рассмотренных периодов консолидации представляет собой участок в виде безразмерного фактора времени Тv, определённого как Tv = (c_v⋅t)/(H²). Напор Н равен высоте грунтовой колонки. Глубина z нормализуется по H.
Рис. 9.1.2
Аналитическое решение (Verruijt, 2001)
Результаты в SiO 2D
Ниже приводятся результаты, полученные в SiO 2D.
Рис. 9.1.3
Развитие относительного избыточного порового давления p/p0 во времени (Тv) и в зависимости от глубины (z/H), полученное в SiO 2D и аналитически
Рис. 9.1.4
Эпюры избыточного порового давления
по вертикальному сечению грунтовой колонки в SiO 2D
Выводы
| Tv | Эталонное решение | SiO 2D | ∆(%) | |
| 0,01 | −0,9953 | −0,9649 | 3,06 | |
| 0,02 | −0,8664 | −0,9392 | 8,40 | |
| 0,05 | −0,7941 | −0,7674 | 3,37 | |
| 0,10 | −0,6286 | −0,6076 | 3,34 | |
| 0,20 | −0,4616 | −0,4474 | 3,09 | |
| 0,50 | −0,0580 | −0,0608 | 4,78 | |
| 1,00 | −0,0169 | −0,0186 | 10,35 |
Теоретическое решение и результаты, полученные в SiO 2D, хорошо согласуются. Максимальные относительные погрешности для рассмотренного консолидационного расчёта варьируются от 3,06 до 10,35 %. Важно отметить, что расхождения вызваны тем, что изначально рассчитанное избыточное поровое давление в SiO 2D зависит от параметра Скемптона и составляет 0,993 × p_внеш, вместо 1.0 × p_внеш, как в строгом аналитическом решении. Это связано с тем, что поровая вода в SiO 2D не является полностью несжимаемой. По этой же причине результаты в программе PLAXIS 2D также имеют небольшие расхождения с аналитическим решением и более близки к результатам в SiO 2D.
Примечание